Вход Регистрация
Контакты Новости сайта Карта сайта Новости сайта в формате RSS
 
 
Новости для выпускников
МГУ им.Ломоносова
SUBSCRIBE.RU
 
База данных выпускников
 
 
Рассылки Subscribe.ru
Выпускники МГУ
Выпускники ВМиК
Долголетие и омоложение
Дайв-Клуб МГУ
Гольф
Новости психологии
 
Рассылки Maillist.ru
Выпускники МГУ
Активное долголетие, омоложение организма, геропротекторы
 

ТЕРМОДИНАМИКА СТАРЕНИЯ

Глава 8 *

А.И.Зотин

 

-116-

Обычно, когда говорят о применении термодинамики, имеют в виду подсчет различных термодинамических параметров и потенциалов, таких как свободная энергия, энтальпия, энтропия и т. д. Такого рода подсчеты, по-видимому, можно сделать и для стареющих организмов (Бауэр, 1935; Salzer, 1957; Sacker, 1960). Однако не эти показатели - возможно, важные и необходимые при описании некоторых частных явлений, сопровождающих старение, - должны лежать в основе термодинамики старения или, точнее говоря, термодинамики возрастных изменений организма. Дело в том, что эти показатели плодотворны только в классической термодинамике, применение которой ограничено областью обратимых, равновесных процессов. Живые организмы являются неравновесными, открытыми системами. Поэтому их изменения при возрастной эволюции могут быть охарактеризованы только в рамках термодинамики необратимых процессов (Зотин, 1974; Николаев, 1976; Рубин, 1976).

8.1. КАЧЕСТВЕННАЯ ФЕНОМЕНОЛОГИЧЕСКАЯ ТЕОРИЯ РАЗВИТИЯ

Современная термодинамика линейных необратимых процессов возникла около 40 лет тому назад, и уже тогда было высказано предположение, что ее основные соотношения могут быть использованы для построения феноменологической теории возрастных изменений организмов (Prigogine, Wiame, 1946; Prigogine, 1960). Согласно этому предположению, для описания процессов развития, роста и старения организмов можно использовать критерий эволюции термодинамики линейных необратимых процессов. Этот критерий опирается на теорему Пригожина (Prigogine, 1960), которую можно сформулировать следующим образом: в стационарном состоянии продукция энтропии внутри термодинамической системы при неизменных внешних параметрах является минимальной и константной. Если система не находится в стационарном состоянии, то она будет изменяться до тех пор, пока скорость продукции энтропии, или, иначе, диссипативная функция (Ψ), системы не примет наименьшего значения, т. е.:

 (1)

-117-

где

 (2)

T - абсолютная температура, V - объем системы, diS/dt - скорость продукции энтропии, Jj - удельные потоки, Xj - термодинамические силы, q - интенсивность теплопродукции. Термодинамические потоки и силы связаны линейными соотношениями:

 (3)

для которых выполняется соотношение взаимности:

 (4)

Критерий (1) показывает направление эволюции открытой термодинамической системы, связанной с переходом системы из менее вероятного нестационарного состояния к более вероятному стационарному состоянию. Следовательно, при использовании этого критерия для описания возрастных изменений организмов предполагается, что в процессе этих изменений происходит приближение организмов к конечному стационарному состоянию, переход живой системы к более вероятному состоянию. Подобные идеи, естественно, высказывались и раньше (Przibram, 1922; Medawar, 1945), но только в теории Пригожина-Виама (Prigogine, Wiame, 1946) этому положению был придан реальный физический смысл, так как она опирается на критерий эволюции (1).

В живых системах удельную диссипативную функцию (2) можно, с известным приближением, приравнять интенсивности теплопродукции, а следовательно, интенсивности дыхания и гликолиза, которые в основном определяют теплопродукцию организма. Тогда теория Пригожина-Виама приобретает простой биологический смысл, так как сводится к утверждению, что в процессе возрастных изменений организмов происходит непрерывное снижение интенсивности этих процессов. Многочисленные экспериментальные данные хорошо подтверждают это утверждение (Зотин, 1974, 1976).

Для того чтобы это стало ясным, следует, однако, четко различать 2 рода явлений. Первое из них - изменение интенсивности теплопродукции (основного обмена), непосредственно связанное с возрастными изменениями и характеризующее только эти явления. Мы назвали такой процесс  конституитивны м (Озернюк и др., 1971; Зотин, 1974). Второе - изменение интенсивности теплопродукции, определяемое действием различных внешних и внутренних факторов. Такой процесс мы назвали  индуцибильным . Индуцибильные процессы могут быть двух типов: индуцибильно-импульсные, вызываемые кратковременными воздействиями различных внешних и внутренних стимулов (к этой категории, в частности, относится активный обмен взрослых животных), и индуцибильно-адаптивные, связанные с адаптацией организмов к длительным изменениям внешних и внутренних параметров (Озернюк и др., 1971; Зотин, 1974, 1976).

-118-

Схематически теорию Пригожина-Виама и различия в конститутивных и ндуцибильных процессах можно проиллюстрировать схемой (рис. 9), в которой шарик катится вниз по наклонному желобу. В каждый данный момент времени под действием внешней силы шарик может уклониться от стационарного состояния (рис. 9, б), но затем он вновь возвращается на дно желоба и продолжает движение к конечному стационарному состоянию. Движение шарика по дну желоба (рис. 9, а, г) соответствует конститутивному приближению организмов к конечному стационарному состоянию, уклонение и возвращение шарика к текущему стационарному состоянию (рис. 9, б, в) - индуцибильному процессу. Как говорилось, имеется большое число данных, подтверждающих теорию Пригожина-Виама (Зотин, 1974, 1976). Для иллюстрации я приведу только два рисунка, касающихся птиц, млекопитающих и человека, из которых следует, что снижение интенсивности теплопродукции происходит до самых поздних стадий старения организмов (рис. 10, 11).

Схематическая модель уклонения и приближения живой системы

Рис. 9. Схематическая модель уклонения и приближения живой системы к стационарному состоянию.

Объяснения в тексте.

Какие же основные следствия, интересные для геронтологии, вытекают из термодинамической теории Пригожина-Виама?

-119-

Рис. 10. Изменение основного обмена во время роста птиц и млекопитающих (Зотнн, 1974).
По оси ординат  - основной обмен, калсут-1•кг-1;  по оси абсцисс  - возраст, мес. 1 - куры, 2 - утки, 3 - крысы, 4 - овцы, 5 - свиньи, б - лошади, 7 - коровы.

Рис. 11. Изменение основного обмена во время роста н старения людей (Зотин, 1974).
По оси ординат  - основной обмен, кал•сут-1•кг-1;  по оси абсцисс  - возраст, годы.

-120-

Прежде всего, с точки зрения этой теории, возрастные изменения организмов сопровождаются приближением системы к конечному стационарному состоянию, т. е. непрерывным старением живой системы. Отличие эмбрионального периода и роста от того периода, который мы обычно называем старением, заключается только в скорости процесса старения. Следовательно, изучение механизма снижения интенсивности теплопродукции во время развития, роста и последующих возрастных изменений является главным при изучении механизма старения организмов. Вторым очевидным следствием теории Пригожина-Виама является утверждение, что в онтогенезе неизбежно должен быть такой период, когда живая система не приближается, а уклоняется от стационарного состояния - процесс, сопровождающийся увеличением величины диссипативной функции системы. На схеме (рис. 9) это соответствует движению шарика вверх по желобу. Если в процессе старения происходит уменьшение величины диссипативной функции, то обратное явление - ее увеличение - можно назвать омоложением живой системы. Простой анализ показывает, что подобное явление может осуществляться во время оогенеза, на начальных стадиях регенерации и заживления ран, на ранних стадиях злокачественного роста (Зотии, 1974, 1976). Эти следствия теории Пригожина-Виама схематически показаны на рис. 12.

Рис. 12. Схематическое изображение термодинамической теории Пригожина - Виама и ее следствий.
Пo оси ординат  - скорость продукции энтропии, кал.•ч-1•г-1;  по оси абсцисс  - время.

Наибольший интерес, с точки зрения вопросов, рассматриваемых здесь, представляет период оогенеза животных, так как в это время, согласно схеме (рис. 12), происходит естественное омоложение живых систем. Поэтому остановимся подробнее только на этом периоде. Изучение интенсивности дыхания в ооцитах вьюна показало, что дыхание, рассчитанное на 1 мг белка ооцита, быстро увеличивается в период малого роста, достигает максимума к началу большого роста, а затем снижается (рис. 13). Интенсивность анаэробного гликолиза в оогенезе вьюна изменяется сходным образом (Озернюк и др., 1971; Озернюк, 1978). Отличие заключается в том, что максимум интенсивности гликолиза приходится на более позднюю фазу оогенеза по сравнению с максимумом интенсивности дыхания. Сходные данные, касающиеся изменения интенсивности дыхания в оогенезе, получены для  Xenopus laevis  (Зотин, 1976) и Brachydanio rerio  (Озернюк и др., 1980). Таким образом, в этих работах установлено, что конститутивное уклонение (естественное омоложение живых систем) происходит на узком участке онтогенеза животных: в период малого роста ооцитов. На всех последующих стадиях оогенеза, зародышевого развития и роста организмов происходит только конститутивное приближение живой системы к конечному стационарному состоянию, т. е. старение организма.

-121-

Рис. 13. Изменение интенсивности дыхания, содержания митохондриального белка и концентрации митохондрий в ооцптах вьюна на разных стадиях оогенеза (Озернюк, 1978).
По оси ординат  - поглощение O2, мкл•ч-1•мг-1 (1), отношение митохондриальный белок/ общий белок ооцита(2), число митохондрий в 1 мкм3 (3);  по оси абсцисс  - диаметр ооцита, мм.

Теперь вернемся к вопросу о путях изучения механизма старения и омоложения живых систем. Как говорилось, их следует искать в механизме изменения интенсивности теплопродукции, т. е. в изменении интенсивности дыхания и гликолиза при возрастной эволюции организмов. Здесь будут рассмотрены только вопросы, связанные с изучением механизма изменения интенсивности дыхания, которое вносит наиболее существенный вклад в теплопродукцию организмов.

-122-

Как известно, главные пути регуляции клеточного метаболизма связаны, с одной стороны, с изменением количества ферментов, катализирующих те или иные биохимические реакции, с другой - с изменением активности этих ферментов и содержания метаболитов в клетках. Если речь идет о регуляции дыхания, то изменение количества дыхательных ферментов практически совпадает с изменением числа митохондрий или, точнее говоря, митохондриальных мембран. Регуляция интенсивности дыхания, не связанная с изменением числа митохондрий, может осуществляться в результате изменения физических и химических условий протекания реакций, изменения концентрации субстратов и конечных продуктов реакций, конкуренции ферментов дыхания и гликолиза за субстраты и кофакторы, аллостерической регуляции активности ферментов продуктами метаболизма, изменения свойств различных внутриклеточных мембран и т. д. Вся эта сложная система регуляций с трудом поддается анализу при конкретном рассмотрении механизма снижения или увеличения интенсивности дыхания во время развития, роста и старения организмов. Однако несколько упростить проблему можно, так как, отвлекаясь от некоторых частных механизмов, можно считать, что базисный уровень дыхания (основной обмен) определяется главным образом концентрацией митохондрий и митохондриальных мембран в клетках. То, что подобное утверждение возможно, показывают некоторые данные, имеющиеся в литературе (Зотин, 1974, 1976; Корниенко, 1979). Так, Смит (Smith, 1956), суммируя данные разных авторов и собственные наблюдения, пришел к выводу, что снижение интенсивности дыхания животных при увеличении их массы определяется изменением концентрации митохондрий. Интересные данные получены при электронно-микроскопическом подсчете числа митохондрий на единицу площади срезов печени и сердца в процессе старения крыс (Tauchi et al., 1964; Левкова, Трунов, 1970), а также при возрастных изменениях печени людей (Tauchi, Sato, 1968). Оказалось, что при старении крыс число митохондрий на единицу площади срезов печени и сердца уменьшается в процессе старения. То же самое происходит в печени людей. На срезах печени размером 5000 мкм2 число митохондрий менялось следующим образом:- у людей до 49 лет их было 1893, 50-59 лет - 1829, 60-64 лет - 1434, 65-69 лет - 1223 и свыше 70 лет - 1200 (Tauchi, Sato, 1968). Зависимость интенсивности дыхания от количества митохондрий установлена в нашей лаборатории для таких процессов, как оогенез рыб, регенерация конечностей у аксолотля, голодание планарий и др. (Зотин, 1976). Особенно наглядные материалы получены при изучении оогенеза рыб (Озернюк, 1978; Озернюк и др., 1980). На рис. 13 представлены данные об изменении интенсивности дыхания, концентрации митохондриального белка и количества митохондрий в единице объема ооцитов разных стадий оогенеза вьюна. Видно, что имеется хорошая корреляция между этими величинами.

-123-

Если указанные данные подтвердятся, то центр тяжести изучения механизма старения и омоложения живых систем должен сместиться в сторону изучения механизма роста и воспроизведения митохондрий. Эта проблема, однако, является одной из труднейших проблем современной биологии, так как синтез и транспорт основного числа митохондриальных белков лежит вне митохондрий и определяется такими сложными явлениями, как работа и регуляция ядерного генома, функционирование эндоплазматичоской сети и т. д. Таким образом, следствия, вытекающие из термодинамической теории старения, предостерегают от слишком оптимистического отношения к вопросу о возможностях разработки способов регуляции старения и омоложения организмов. G точки зрения этой теории, серьезное решение проблемы увеличения ВПЖ животных и растений возможно будет только после того, как будут решены основные проблемы клеточной биологии, связанные с механизмом регуляции и работы генома, механизма транспорта веществ в клетке, механизма воспроизведения и роста митохондрий.

8.2. КОЛИЧЕСТВЕННАЯ ФЕНОМЕНОЛОГИЧЕСКАЯ ТЕОРИЯ РАЗВИТИЯ

Основное допущение теории Пригожина-Виама состоит в утверждении, что соотношения термодинамики линейных необратимых процессов справедливы и выполняются при возрастных изменениях организмов. Но это означает, что для описания процессов развития и роста можно использовать уравнения вида (3), т. е. построить феноменологические уравнения, способные - и это особенно важно для проблем старения - учесть взаимодействие различных явлений, которые происходят при возрастных изменениях организмов.

Развитие, рост и старение включают в себя с феноменологической точки зрения 3 рода явлений: изменение массы тела (рост), появление различий в разных частях системы (дифференцировка) и изменение формы организма (формообразование). Обозначая удельный поток изменения массы через Jg=1/W•dW/dt, удельный поток дифференцировки через Jd=1/W•dD/dt и удельный поток формообразования через Jf=1/W•dF/dt, мы можем формально записать, используя уравнение (3), взаимодействие роста, дифференцировки и формообразования в виде:

 (5)

где W - масса тела животного, D - дифферендировка, F - формообразование, Ji - соответствующие потоки, Xi - силы, kij - коэффициенты.

-124-

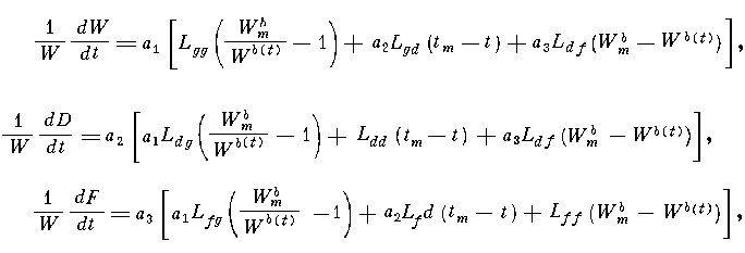
Трудным является вопрос о конкретном значении сил, входящих в уравнение (5). В термодинамике необратимых процессов в качестве феноменологических уравнений обычно используют эмпирические законы, установленные экспериментально. Этот путь и был использован при определении сил в уравнении (5) (Зотин, 1974, 1976; Зотина, Зотин, 1973). Исходя из различных эмпирических законов, было принято, что сила, определяющая рост, имеет вид Xg=rg(Wmb/Wb-1), а сила, определяющая дифференцировку, - Xd = rd (tm-t). Из соображений размерностей и некоторых допущений сила, определяющая формообразование, была получена в виде Xf=rf (Wmb-Wb). Подставляя значение этих сил в уравнение (5), имеем систему дифференциальных уравнений:

 (6)

где Lij = rikij.

Первое из уравнений в системе (6) должно описывать изменение массы тела животных на протяжении жизни, поэтому его легко проверить, сопоставляя с экспериментальными данными. Расчеты, проведенные с помощью ЭВМ, показали, что это уравнение достаточно хорошо описывает изменение массы тела бобров и хомячков на протяжении жизни (рис. 14). Следует отметить, что это одно из немногих уравнений роста, которое без особых дополнительных допущений способно описывать изменение массы тела животных на протяжении всей жизни. Обычные уравнения роста, например уравнение Берталанфи, функция Гомперца и др. (Зотин и др., 1975; Зотина, Зотин, 1973), способны описать только начальный период изменения массы тела животных, но не стационарную фазу и тем более уменьшение массы тела в конце жизни. Вместе с тем оказалось, что уравнение роста из системы (6) не во всех случаях применимо для изучения изменения массы тела животных. Так, не получилось хорошего совпадения эмпирических данных, полученных при изучении изменения массы тела людей (Зотин, 1974). Рост людей значительно отличается от роста других млекопитающих (Brody, 1945; Зотин, 1974), так как после рождения дети долго сохраняют некоторые эмбриональные черты (еще больше это, по-видимому, относится к сумчатым).

-125-

Рис. 14. Сопоставление экспериментальных данных (кружочки), полученных при изучении изменения массы тела на протяжении жизни бобров (A), белоногих (Б) и золотистых (В) хомячков, с кривой, рассчитанной по уравнению (6) (Зотин и др., 1978).
По оси ординат  - масса тела, % от максимальной; по оси абсцисс - время, % от времени достижения максимальной массы животного.

Неприменимость уравнения роста (6) для описания изменения массы тела людей можно объяснить тем, что оно получено из линейных соотношений вида (3). Эти соотношения справедливы только для термодинамических систем, близких к равновесному или стационарному состоянию. Здесь мы впервые сталкиваемся с проблемой нелинейности, т. е. выходим за рамки теории Пригожина-Виама; для описания ранних стадий роста людей и некоторых других животных следует использовать нелинейную термодинамическую теорию. В настоящее время такой общепризнанной теории нет. Поэтому мы попытались использовать для построения нелинейных феноменологических уравнений развития один из вариантов теории - стохастическую теорию нелинейных необратимых процессов Бахаревой-Бирюкова (Зотин и др., 1975; Зотин, 1976). Полученные нелинейные феноменологические уравнения имеют в окончательном варианте (Зотин, 1976; Зотин и др., 1978) следующий вид:

 (7)

-126-

где

 (8)

Оказалось, что нелинейное уравнение роста из системы (7) достаточно хорошо соответствует эмпирическим данным, полученным при изучении массы тела людей на протяжении всей жизни. Уравнение роста (7) может быть использовано и для определения максимально возможной ПЖ животных и человека (Зотин и др., 1978).

В настоящее время отсутствуют удовлетворительные методы определения индивидуальной ПЖ животных и человека (Дубина, Разумович, 1975). Между тем этот вопрос имеет большое значение для экспериментальной геронтологии, так как использование методов прогнозирования могло бы резко сократить сроки трудоемких и длительных исследований. Предложенный Зотиным и сотр. (1978) метод основан на следующих положениях. В онтогенезе млекопитающих и человека, как отмечалось, имеется такой период, когда происходит снижение массы тела, что соответствует довольно поздним стадиям старения организмов (рис. 14, 15). Очевидно, это снижение не может заходить слишком далеко: должен существовать предел, ниже которого снижение массы тела невозможно. Если бы был известен этот предел, то, опираясь на уравнение роста (7), можно было бы рассчитать максимально возможную ПЖ.

К сожалению, в настоящее время не имеется возможности определить эту константу экспериментальным путем. Поэтому для ее определения необходимо было опереться на некоторую гипотезу относительно механизма снижения массы тела животных и человека в процессе старения. Гипотеза эта состоит в следующем. Предполагается, что снижение массы тела происходит в результате функционального голодания клеток и тканей стареющего организма из-за слишком низкого уровня основного обмена. Известно, что во время роста и старения животных и человека происходит непрерывное снижение основного обмена (см., например, рис. 10, 11). С некоторого момента интенсивность дыхания может достичь такого низкого уровня, что это вызовет снижение скорости поступления и усвоения питательных веществ и, как следствие, внутриклеточное голодание. В конечном счете начнется снижение массы тела стареющего животного. Если высказанное предположение верно, то естественная смерть должна наступать в результате функционального голодания организмов. Тогда максимально возможная ПЖ будет определяться теми же факторами, что и максимально возможная длительность голодания. Следовательно, величину предельно возможного снижения массы тела при старении животных или человека можно получить, опираясь на данные о максимально возможном снижении массы тела при полном или частичном голодании. Такие данные имеются в литературе не только для животных, но и для человека. Они получены при оказании помощи пострадавшим от голода в период блокады крупных городов. Эти данные, как и материалы, полученные при лечебном голодании, показывают, что предельная величина снижения массы тела людей равна в среднем 30% от массы тела в стационарный период роста (Зотин и др., 1978).

-127-

Используя эту константу, нелинейное уравнение роста (7) и данные об изменении массы тела бельгийских мужчин середины прошлого века (рис. 15), была рассчитана предельно возможная ПЖ, которая оказалась равной 160 годам (Зотин и др., 1978). Эта цифра заметно отличается от общепринятой в геронтологии величины максимальной ПЖ людей, которая не превышает 120 лет. Следует учесть, однако, что геронтологи стремятся определить реальную максимальную ПЖ, используя в основном документальные данные о долгожителях. В предложенном методе речь идет о теоретически возможной максимальной продолжительности жизни. Очевидно, она может сильно отличаться от реальной ПЖ, так как умирают люди не от старости, а от болезней. В процессе старения и увеличивающегося функционального голодания организма вероятность заболевания и летального исхода любого заболевания резко возрастает. Поэтому достичь теоретически возможной ПЖ, по-видимому, невозможно, хотя эта величина должна коррелировать с реально достижимой максимальной ПЖ.

Рис. 15. Описание изменения массы тела людей с помощью уравнения (7) и расчет максимальной ПЖ с помощью этого уравнения (Зотин и др., 1978).  По оси ординат  - масса тела, кг;  по оси абсцисс  - время, годы.  Горизонтальной штриховой линией  показан максимально возможный уровень снижения массы тела при старении людей,  стрелкой  - время достижения этого уровня.

Таковы основные результаты, связанные с рассмотрением термодинамики старения организмов. Это рассмотрение основано на использовании соотношений термодинамики линейных необратимых процессов и особенно критерия эволюции (1) и феноменологических уравнений (3). Существуют, однако, серьезные теоретические возражения против использования критерия (1) для описания эволюции организмов в процессе развития, роста и старения (Волькенштейн, 1973). Дело в том, что, как говорилось, приложимость соотношений термодинамики линейных необратимых процессов ограничена областью систем, находящихся вблизи от равновесного или стационарного состояния. Живые системы далеки от равновесия, и, казалось бы, для описания их изменений нельзя использовать термодинамику линейных необратимых процессов.

-128-

В настоящее время не существует общепринятой термодинамической теории нелинейных необратимых процессов (Зотин, 1980). Поэтому мы стоим перед альтернативой: или мы отказываемся от попыток термодинамического рассмотрения жизненных процессов, или в разумных пределах используем уже полученные в термодинамике результаты для изучения интересующих нас проблем. Последнее, как нам кажется, предпочтительней. И не только потому, что приложение современной термодинамики к явлениям развития организмов дает хорошее результаты, часто подтверждаемые экспериментальными данными, но и потому, что термодинамика линейных необратимых процессов во многих случаях в принципе может быть использована для описания этих явлений. Это следует из следующих рассуждений. 1) Во многих случаях процессы развития и особенно роста описываются линейными феноменологическими уравнениями, что является одним из основных условий применимости этого раздела термодинамики. Фактически мы только один раз столкнулись с проблемой нелинейности, когда рассматривали начальные стадии роста людей. Но и в этом случае удается обойти возникшие трудности, вводя тем или иным способом нелинейные члены в исходные уравнения. 2) Изменение интенсивности дыхания (основного обмена) во время роста и старения многих животных можно описать, опираясь на уравнение (4), выведенное из линейной теории или с помощью рассуждений, опирающихся на соотношения термодинамики линейных необратимых процессов (Зотин, 1980). 3) Изучение влияния температуры на процессы развития и роста показывает, что во многих случаях это влияние описывается экспоненциальной функцией (Медников, 1977). Такая зависимость в свою очередь может быть получена из классической термодинамики, т. е. из термодинамической теории равновесных или квазиравновесных процессов. Вот три аргумента, показывающих, что для описания реальных процессов, протекающих во время развития и особенно во время роста и старения, возможно использование соотношений термодинамики линейных необратимых процессов.

Литература

Бауэр Э. С. Теоретическая биология. M.; Л., 1935.

Волькенштейн M. В. Биология и физика. - Уси. физ. наук, 1973, т. 109, № 3. с. 499-515.

Дубина T. Л., Разумовнч А. H. Введение в экспериментальную геронтологию, Минск, 1975

-129-

Зотин А. И. Термодинамический подход к проблемам развития, роста и старения. M., 1974.

Зотин А. И. (ред.). Термодинамика биологических процессов. M., 1976.

Зотин А. И. (ред.) Термодинамика и кинетика биологических процессов. M., 1980.

Зотин А. И., Грудницкий В. А., Клевезаль Г. А. (ред.). Количественные аспекты роста организмов. M., 1975.

Зотин А. И., Зотина P. С, Прокофьев Е. А., Кононлев В. А. Использование уравнений роста для определения максимальной продолжительности жизни млекопитающих и человека. - Изв. АН СССР, 1978, № 1, с. 87 - 96.

Зотина P. С., Зотин А. И. Объединенные уравнения роста. - Журн. общей биол., 1973, т. 34, № 4, с. 606-616.

Корниенко И. А. Возрастные изменения энергетического обмена и терморегуляция. M., 1979.

Леакова И. А., Трунов В. И. Особенности строения митохондрий старческого миокарда. - Кардиология, 1970, ,№ 9, с. 94 - 97.

Медников Б. M. Температура как фактор развития. - В кн.: Внешняя среда и развивающийся организм. M., 1977, с. 7 - 52.

Николаев Л. А. Основы физической химии биологических процессов. M., 1976.

Озернюк H. Д. Рост и воспроизведение митохондрий. M., 1978.

Озернюк H. Д., Звиададзе Н. Г., Пальмбах Л. P. Интенсивность дыхания, концентрация и распределение митохондрий во время оогенеза данио. - Изв. АН СССР. Сер. биол., 1980, № 6, с. 941-944.

Озернюк H. Д., Зотин А. И., Юровицкий Ю. Г. Оогенез как модель процесса уклонения живой системы от стационарного состояния. - Онтогенез, 1971, т. 2, № 6, с. 565-571.

Рубин А. Б. Термодинамика биологических процессов. M., 1976.

Brody S. Bioenergetics and growth. New York, 1945.

Medawar P. B. Size, shape and age. - In: Essays on growth and form. Oxford, 1945, p. 157 - 187.

(Prigogine I.) Пригожин И. Введение в термодинамику необратимых процессов. M., 1960.

Prigogine I., Wiame J. M. Biologie et thermodynamique des phenomenes irreversibles. - Experientia, 1946, v. 2, p. 451-453.

Przibram I. Form und Formel im Tierreiche. Leipzig; Wien, 1922.

(Sacker J.) Сакер Дж. Вклад энтропии в умирание и старение. - В кн.: Теория информации в биологии. M., 1960, с. 312-324.

Salzer H.E. Toward a Gibbsian approach to the problems of growth and cancer. - Acta Biotheorot., 1957, v. 12, p. 135 - 166.

Smith R. E. Quantitative relations between liver mitochondria metabolism and total body weight in mammals.- Ann. N. Y. Acad. Sei., 1956, v. 62, p. 403-422.

Tauchi H., Sato T. Age changes in size and number of mitochondria of human hepatic cells. - J. Gerontol., 1968, v. 23, p. 454-461.

Tauchi II., Sato T., Hoshino M., Kobayashi H., Adochi F., Aoki J., Masuko T. Studies on correlation between ultrastructure and enzymatic activities of the parenchymal cells in senescence. - In: Age with a future. Proc. 6th Intern. Congr. Gerontol. Copenhagen, 1964, p. 203-211.

_____________


* А.И.Зотин Термодинамика старения. В кн. Биология старения.(Руководство по физиологии). - Л.: Наука, 1982, с.116-129.

Номер страницы предшествует тексту и соответствует нумерации указанного издания.

Как помочь проекту "Активное долголетие"


  Рекомендовать »   Написать редактору  
  Распечатать »
 
  Дата публикации: 11.08.2012  
 

     Дизайн и поддержка: Interface Ltd.

    
Rambler's Top100